梦幻西游升级经验一览表 梦幻西游升级经验表分享
更新时间:2024-09-20
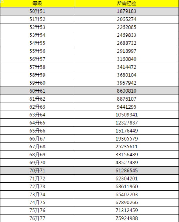
来源:互联网 作者 : 佚名梦幻西游每级升级需要多少经验?最新很多玩家在问这个问题,今天小编就给大伙带来50-77级每级间升级所需的经验值,希望能够给到不同等级玩家一点提示,下面就随小编一起来看看吧。

梦幻西游升级经验表:
小编先给大家分享的是梦幻西游50-77升级所需经验表,后续根据不同等级来换算所需经验多少。

50-60级一共需要28497462,约为2849万经验。
60-70级一共需要186217007,约为1亿8621万经验。
70-77级一共需要467732622,约为4亿6773万经验。
从50-77级一共需要682447091,约为6亿8244万经验。
升到69所需要的经验大概为40384700(不含69的下一级经验)。根据70-77级的升级经验规律,小编预计77-80级还需要3亿经验。也就是说70-80级需要接近10亿经验。
以上就是小编给大家带来梦幻西游升级经验表内容了,更多攻略敬请关注视游手游网!
>> 点击返回 梦幻西游 wiki <<