原神防御力计算公式 原神防御力最高多少
更新时间:2024-09-22
来源:互联网 作者 : 佚名原神防御力怎么计算?原神防御力最高多少?下面一起来看看详细的攻略介绍吧!
防御减伤公式
减伤百分比=防御力/(防御力+C)
熟悉游戏熟悉计算的朋友肯定会说:果然如此。是的这个算式过于经典了。为什么好呢。这样看是不容易看的,因为随着减伤百分比越高,减1%伤害效果越来越好。但同时打到减1%所需要的防御值也越来越高。
所以我们要逆向思维一下,算一个等价生命值。如果防御减伤50%那么等效生命值就是200%。明显的,等效生命值=生命值/(1-减伤百分比)=生命*(1+防御力/C)。
发现了么,当使用这个减伤公式以后,每加1点防御力,等效增加 1/C 这个比例的生命。防御对生命的加成效果变成线性。也很方便与生命值加成进行比较了。
那么公式里面C是多少呢?C=L*5+500 L为怪物等级。
如果我们要堆防御,要怎么堆呢?首先实际生存能力其实是前文的等效生命值,防御对他的加成也是线性的,从而很容易和生命比较。但是,原神这个游戏属于血槽短奶量高的游戏。即满血量也挨不了几下,同时很容易直接奶满。从而防御属性大大超越生命。防御百分比提升了单位血量的价值。在血量保证不暴毙的情况下,全堆防。
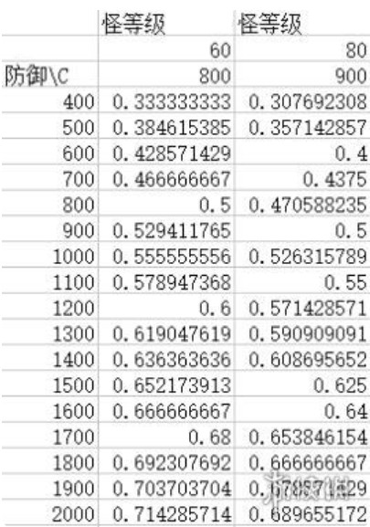
下图是对60和80级怪物时各个档位防御的减伤:

可以发现,说起来容易防御堆起来其实很难的。百分比加伤本来就算一次线性衰减,这些防御再作用到有效生命,又要吃一次线性衰减。从而即使防御堆得很高也并不能随意打挨打,400堆到1500才能将将半伤。但是加成了300%的防御。
其实这些就是数值分析图个乐,没啥用。知道防御对多了也肉不了多少就够了。除了女仆谁去堆防御啊,女仆堆也不是为了肉。
再讲讲等级压制。
并没有跑题。刚刚我们研究的变量是自己的防御。如果防御不变呢,怪物等级会影响C的值。同样的,敌人的防御减伤公式也同样是防御力/(防御力+C)。敌人防御力就是L*5+500。C呢,明显就是I*5+500,I是自身等级。你没看错升级可以加伤哦。
下图是对40和80级怪物时各个档位防御的减伤:

可以看到有相当的减伤比例。如果40级辅助去打80怪,减伤比例为(0.5-0.4375)/0.5=0.1225约12%。20级去打减伤20%。所以如果想用辅助打点伤害。要么再稍微练练,毕竟等级低成本很便宜。要么打元素,不吃防御。至于主c等级还是要拉满,虽然加成不高,但是这是一个单独的乘区,其他的乘区都已经打的很高了,就显得这一点很重要。
防御力最高多少
荒泷一斗满级拥有959基础防御力,也是全角色防御力最高的。
以上就是小编带来的全部内容了,更多游戏攻略敬请关注视游手游网原神专区!
>> 点击返回 原神 wiki <<